Menu

Executive Programs

Workshops

Projects

Blogs

Careers

Student Reviews



More

Academic Training

Informative Articles

Find Jobs

We are Hiring!


All Courses

Choose a category

Loading...

All Courses

All Courses

logo

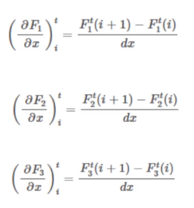
Simulation of a 1D Super-sonic nozzle flow simulation using Macormack Method

Simulation of a 1D Super-sonic nozzle flow simulation using Macormack Method In this project, I will be solving a 3D nozzle flow simulation which has been converted to a 1D nozzle, disregarding any change in quantities in the y and z directions.     This type of flow is called quasi-one-dimensional flow. This…

    Project Details

    Loading...

    Leave a comment

    Thanks for choosing to leave a comment. Please keep in mind that all the comments are moderated as per our comment policy, and your email will not be published for privacy reasons. Please leave a personal & meaningful conversation.

    Please  login to add a comment

    Other comments...

    No comments yet!
    Be the first to add a comment

    Read more Projects by Dushyanth Srinivasan (45)

    Project 2 - Rankine cycle Simulator

    Objective:

      In this project, I will be writing code in MATLAB to simulate a Rankine Cycle for the given parameters. A Rankine Cycle is an ideal thermodynamic heat cycle where mechanical work is extracted from the working fluid as it passes between a heat source and heat sink. This cycle or its derivatives is used in steam engines…

    calendar

    04 Sep 2022 12:52 PM IST

    • MATLAB
    Read more

    Project 1 - Parsing NASA thermodynamic data

    Objective:

    In this project, I will be parsing a data file prepared by NASA. The contents of the data file can be used to generated thermodynamic properties such as Specific Heat at Constant Pressure 'C_p' (`J//(kg.K)`), Enthalpy `H or Q` (`J`) and Entropy `S` (`J//(kg.mol)`) at various temperatures. The files will be parsed in MATLAB…

    calendar

    31 Aug 2022 01:07 PM IST

    Read more

    Week 5 - Genetic Algorithm

    Objective:

    In this project, I will be generating a stalagmite function in MATLAB and find the global maxima of the function using Genetic Algorithm. A stalagmite function is a function which generates Stalactites, which are named after a natural phenomenon where rocks rise up from the floor of due to accumulation of droppings of…

    calendar

    29 Aug 2022 07:55 AM IST

    Read more

    Week 4.1 - Solving second order ODEs

    Objective:

    In this project, I will be writing code in MATLAB to solve the motion of a simple pendulum. A simple pendulum motion's depends on Newton's Second Law. The equation which governs the motion of a simple pendulum is (with damping) `(d^2theta)/(dt^2) + b/m(d theta)/(dt) + g/L sin theta = 0` Where, `theta` is the angular displacement…

    calendar

    23 Aug 2022 08:06 AM IST

    Read more

    Week 2- 2R Robotic Arm Challenge

    Objective:

    In this project, a simple code to create an animation of a 2R robotic arm will be created in MATLAB. A 2R robotic arm consists of a base, two arms and two rotational joints. Arm 1 is attached with the help of a rotational joint. Arm 1 makes an angle of `theta_1` with the horizontal axis and has a length of `L_1`. The other…

    calendar

    24 Jul 2022 08:05 AM IST

    Read more

    Week 12- Major Project (CFD Analysis on Combustion in a SCRAMJET engine)

    Objective:

    In this project, I will be calculcating the most efficient slot-fuel injector and cavity-flame holder for a scramjet in ANSYS Fluent. A scramjet engine is an improvement over the traditional ramjet engine as it efficiently operates at hypersonic speeds and allows supersonic combustion. Thus it is known as Supersonic Combustion…

    calendar

    13 Jul 2022 02:49 PM IST

      Read more

      Week 11- Broadband Noise modelling over Ahmed body

      Objective:

      In this project, an Ahmed Body will be simulated in ANSYS Fluent, and the relavant results will be studied. An acoustic modelling simulation of the same body will also be performed. Ahmed Body is a simplified vehicle body used for capturing basic yet charecteristic features seen in objects used in the automobile industry.…

      calendar

      11 Jul 2022 09:24 AM IST

      Read more

      Week 9- Unsteady moving zones Approach

      Objective:

        In this project, a transient simulation on a generic turbomachinery component will be performed in ANSYS Fluent. The main objective is to use the Moving Mesh Approach, the mesh moves along with the geometry hence a new mesh is generated for every timestep. Geometry & Mesh The geometry consists of three .msh…

      calendar

      05 Jul 2022 10:54 AM IST

        Read more

        Week 8- Moving zones approach in Fluent

        Objective:

        Moving Zones are used in simulations where there is a moving part/surface, such as an impeller, gearbox simulation, etc. There are two major approaches used to model rotary motion in a domain, they are: 1. Moving Reference Frame: in this approach, the frame is considered to be moving. The control volume is constant, and…

        calendar

        03 Jul 2022 09:23 AM IST

          Read more

          Week 7 - Minor Project

          Objective:

          In this project, a simulation of a NACA0012 airfoil will be performed in ANSYS Fluent for various angles of attack and flow speed. The angles of attack are: 5, 10 and 15 degrees Flow conditions are: subsonic (0.15 times the mach number) and supersonic (1.2 times the mach number) The effect of these on the lift and drag…

          calendar

          28 Jun 2022 10:43 AM IST

            Read more

            Week 2 - Converging diverging nozzle

            Objective:

            In this project, I will be simulating a simple convergent-divergent nozzle in ANSYS Fluent. The geometry is split into half, since the entire nozzle is symmetrical. These are the dimensions of the nozzle: Geometry The geometry can be created in SpaceClaim using lines and an arc with 3 points. This is the completed geometry…

            calendar

            23 Jun 2022 08:59 AM IST

            Read more

            Week 5 - Turbulence modelling challenge

            Objective:

            Turbulence is a phenomenon that is present in all flow seen around us and happens when the reynold's number of a flow exceeds the critical number. When turbulence occurs, eddies or vortices are formed in flow which drastically changes fluid properties in that area. Initially larger eddies are formed, which may break into…

            calendar

            23 Jun 2022 08:57 AM IST

            Read more

            Week 3 - Pitot tube

            Objective:

            1. Literature Review of Pitot - Static Tube It is a device that measures the stagnation pressure and static pressure of the fluid flow. The devices consists of a tube with two openings. One opening points directly into the fluid flow, while the other opening opens perpendicular to the fluid flow. It is commonly used to…

            calendar

            15 Jun 2022 11:19 AM IST

              Read more

              Project 1 : CFD Meshing for Tesla Cyber Truck

              Objective:

                In this project, a Tesla Cybertruck in a wind tunnel will be meshed in ANSA. The geometry has multiple errors, these errors will be fixed. The mesh's element's lengths are same for each component of the geometry, but the mesh will be generated separately. The mesh length specifications are: Body - 5 mm Lights -…

              calendar

              02 Jun 2022 10:29 AM IST

              Read more

              Week 5 Challenge : Surface wrap on Automotive Assembly

              Objective:

              In this project, an automotive assembly will be surface wrapped in ANSA. The assembly consists of: Engine, Gearbox and Transmission - all as separate geometries. The geometry has multiple errors, these errors will be fixed. The fixed geometries will be merged in ANSA and a surface wrap will be performed. The target length…

              calendar

              31 May 2022 07:48 AM IST

              Read more

              Week 4 Challenge : CFD Meshing for BMW car

              Objective:

              In this project, a BMW car in a wind tunnel will be meshed in ANSA. The geometry has multiple errors, these errors will be fixed. The mesh's element's lengths are different for each component of the geometry, and the mesh will be generated accordingly. The mesh length specifications are: Body - 3 mm Lights - 4 mm Grills…

              calendar

              26 May 2022 02:17 PM IST

              Read more

              Week 3 Challenge : CFD meshing on Turbocharger

              Objective:

              In this project, a turbocharger will be meshed in ANSA. The geometry has multiple errors, these errors will be fixed. The mesh's element's lengths are different for each component of the geometry, and the mesh will be generated accordingly. The mesh length specifications are: Blade stage-1 = 1 mm Blade stage-2 = 1 mm Impeller…

              calendar

              19 May 2022 10:32 AM IST

              Read more

              Week 2 Challenge : Surface meshing on a Pressure valve

              Objective:

              In this project, a pressure valve will be meshed in ANSA. The geometry has errors, and the project will be for three different mesh lengths. (1mm, 3mm and 5mm) The geometry was imported into ANSA and this is the initial geometry: There are multiple holes in the geometry, which have to be fixed before the meshing process…

              calendar

              17 May 2022 10:12 AM IST

              Read more

              Week 10 - Simulating Combustion of Natural Gas.

              Objective:

              In this project, a simulation of the combustion of natural gas will be performed. Natural gas primarily consists of methane (CH4), and upon combustion produces carbon dioxide (CO2) and water (H2O). Since the gas usually contains some impurties, other oxides like nitrous oxide (NOx) are produced as well. Improper combustion…

              calendar

              09 May 2022 02:44 PM IST

                Read more

                Week 9 - Parametric study on Gate valve.

                Objective:

                  In this project, a simulation of a gate valve will be conducted in ANSYS Fluent using Parameters. A gate valve is a control valve used to control the rate of flow of fluid through a pipe. It is used mostly to shut off flow. It is controlled by turning a handwheel which is connected to a spindle, when the handwheel…

                calendar

                05 May 2022 02:16 PM IST

                  Read more

                  Week 8 - Simulating Cyclone separator with Discrete Phase Modelling

                  Objective:

                  In this project, a cyclone separator will be simulated using ANSYS Fluent and Discrete Phase Modelling. A cyclone separator uses inertia to remove impurities or small particles from flowing fluid. They are used as pollution control devices to reduce the amount of polluntant particles from entering the atmosphere. It is…

                  calendar

                  02 May 2022 02:21 PM IST

                  Read more

                  Week 6 - CHT Analysis on a Graphics card

                  Objective:

                    A CHT or Conjugate Heat Transfer analysis is used where there are multiple phases in a simulation and energy transfer in the form of heat occurs between the multiple phases. An example could be a condenser of any type, where the hot working fluid transfers its heat energy to a coolant. A CHT analysis can be used…

                  calendar

                  26 Apr 2022 01:57 PM IST

                  Read more

                  Week 5 - Rayleigh Taylor Instability

                  Objective:

                    The Rayleigh-Taylor is an instability of an interface between two fluids of different densities which occurs when the lighter fluid is pushing the heavier fluid. A good example would be water suspended on oil, under the influence of earth's gravity. As the RT instability develops, the initial perturbations progress…

                  calendar

                  21 Apr 2022 10:07 AM IST

                  Read more

                  Week 4 - CHT Analysis on Exhaust port

                  Objective:

                    A CHT or Conjugate Heat Transfer analysis is used where there are multiple phases in a simulation and energy transfer in the form of heat occurs between the multiple phases. An example could be a condenser of any type, where the hot working fluid transfers its heat energy to a coolant. A CHT analysis can be used…

                  calendar

                  19 Apr 2022 11:03 AM IST

                  Read more

                  Week 3 - External flow simulation over an Ahmed body.

                  Objective:

                  Ahmed body is a simplified vehicle body used for capturing basic yet charecteristic features seen in objects used in the automobile industry. It is used for testing new CFD solvers or testing one's ability to perform simulations as there are a pleothra of experimental data available about the ahmed body to compare simulation…

                  calendar

                  14 Apr 2022 10:09 AM IST

                  Read more

                  Week 2 - Flow over a Cylinder.

                  Objective:

                  In this project, a basic two-dimensional flow over a cylinder will be conducted for a wide range of reynold's numbers. A cylinder is a basic geometric shape that is seen everywhere, and there are multiple literatures that confirm an unstable region behind the cylinder beyond a certain reynold's number. This instablity…

                  calendar

                  10 Apr 2022 08:12 PM IST

                    Read more

                    Week 1- Mixing Tee

                    Objective:

                    In this project, a simulation of a mixing tee will be conducted in ANSYS using the FLUENT solver. A mixing tee is used for mixing two fluids with different velocities or temperatures or types, etc. It is used to ensure both fluids are properly mixed before exiting the tee. In this project, the mixing tee contains of 2…

                    calendar

                    07 Apr 2022 08:26 AM IST

                    Read more

                    Week 11: FSAE Car Project

                    Objective:

                    In this project, I will be attempting to conduct an analysis of an indsutry standard FSAE car. The project will be divided into two phases, being:Phase 1: This phase involves importing the geometry, cleaning up any errors, flagging appropiate surfaces as boundaries, creating a wind tunnel for the car with a ground surface,…

                    calendar

                    29 Mar 2022 05:43 PM IST

                      Read more

                      Week 10: Modeling and Simulation of flow around an Ahmed Body

                      Objective:

                      Ahmed body is a simplified vehicle body used for capturing basic yet charecteristic features seen in objects used in the automobile industry. Calculation of Reynolds Number We know, `Re = (rho * v * L) / mu` where, `L = 0.1m, rho = 1.177 kg//m^3, mu = 1.853 xx 10^-5  N*s//m^2 and u = 40 m//s` `Re = (1.177 * 40 * …

                      calendar

                      23 Mar 2022 09:19 AM IST

                        Read more

                        Week 9 - Mini project - Flow over an Airfoil

                        Objective:

                        In this project, a trasient simulation of a NACA 2412 airfoil will be performed in converge. The maximum camber is 2% of chord length at 40% of the chord length. The maximum thickness is 12% of chord length at 30% of chord length. I will also be looking at the effect of angle of attack on Co-efficient of lift and drag.…

                        calendar

                        18 Mar 2022 02:57 PM IST

                          Read more

                          Week 8: Literature review RANS derivation and analysis

                          Objective:

                          Navier Stokes Equations `(del u)/(del x) + (del v)/(del y) = 0` `rho ( (del u)/(del t) + u (del u)/(del x) + v (del u)/(del y)) = -(del p)/(del x) + mu (del^2 u)/(del y^2)` Reynolds Decomposition Reynolds decomposition refers to separation of the flow variable (like velocity u {\displaystyle u} `u`) into the mean (time-averaged)…

                          calendar

                          15 Mar 2022 08:13 AM IST

                            Read more

                            Week 7: Shock tube simulation project

                            Objective:

                            In this project, a trasient simulation of a shock tube will be performed in converge. A shock tube contains 2 mixtures, one at high pressure and one at low/atmospheric pressure seperated by a thin diaphragm. When this diaphragm is ruptured, violent mixing occurs. A shock tube simulation or experiment is usually used to…

                            calendar

                            09 Mar 2022 05:40 PM IST

                              Read more

                              Week 6: Conjugate Heat Transfer Simulation

                              Objective:

                              In this project, I will be simulating a conjugate heat transfer (CHT) in converge cfd. This project will include supercycles, a y+ output. I will be taking a look at the effects of the variation of supercycle stage interval from 0.01, 0.02 and 0.03, and conduct a grid dependence test. Geometry Creation The geometry can…

                              calendar

                              09 Mar 2022 07:25 AM IST

                                Read more

                                Week 5: Prandtl Meyer Shock problem

                                Objective:

                                Shock Flow It is a sudden change in flow variables (pressure, temperature, velocity, density, etc.). A shock wave occurs when all the built up pressure in a supersonic flow is released at a point where flow is subsonic, such as behind an aircraft, etc. The flow variables change drastically after the nexus between super…

                                calendar

                                02 Mar 2022 04:53 PM IST

                                Read more

                                Transient Simulation of flow over a throttle body in CONVERGE

                                Objective:

                                In this project, a trasient simulation of flow over a throttle body at different angles will be performed in CONVERGE. Geometry Creation The geometry can either be created manually using converge or it can also be imported from another CAD software, in my case I imported the simple geometry. Do note that converge requires…

                                calendar

                                27 Feb 2022 03:10 PM IST

                                  Read more

                                  Simulation of Flow through a pipe in OpenFoam

                                  Objective:

                                  In this project, I will be simulating an incompressible-laminar-axi-symmetric flow through a constant cross section for a Reynold's number of 2100. This will be solved using the software OpenFOAM running on Debian.   The solver for this simulation was chosen to be icoFoam, I decided what solver to use from this guide…

                                  calendar

                                  27 Feb 2022 03:06 PM IST

                                  Read more

                                  Simulation of a backward facing step in OpenFOAM

                                  Objective:

                                  In this project, I will be simulating an incompressible-laminar-viscous flow through a backward facing step. This will be solved using the software OpenFOAM running on Debian. The solver for this simulation was chosen to be icoFoam, I decided what solver to use from this guide on OpenFOAM's website This is from their guide,…

                                  calendar

                                  27 Feb 2022 03:04 PM IST

                                  Read more

                                  Simulation of a 1D Super-sonic nozzle flow simulation using Macormack Method

                                  Objective:

                                  Simulation of a 1D Super-sonic nozzle flow simulation using Macormack Method In this project, I will be solving a 3D nozzle flow simulation which has been converted to a 1D nozzle, disregarding any change in quantities in the y and z directions.     This type of flow is called quasi-one-dimensional flow. This…

                                  calendar

                                  27 Feb 2022 02:56 PM IST

                                    Read more

                                    Week 4.1: Project Steady state simulation of flow over a throttle body

                                    Objective:

                                    In this project, a steady state analysis of flow over a throttle body will be performed in converge. Geometry Creation The geometry can either be created manually using converge or it can also be imported from another CAD software, in my case I imported the simple geometry. Do note that converge requires all geometry to…

                                    calendar

                                    18 Feb 2022 04:40 PM IST

                                      Read more

                                      Week 3: Flow over a backward facing step

                                      Objective:

                                      In this report, I will be simulating a channel flow in a domain of the dimensions: 0.1m long, 0.1m tall and the wideness of the domain is infinity (the flow does not vary across the z axis) for 3 different mesh sizes. Geometry Creation The geometry can either be created manually using converge or it can also be imported…

                                      calendar

                                      16 Feb 2022 08:58 AM IST

                                        Read more

                                        Week 1: Channel flow simulation using CONVERGE CFD

                                        Objective:

                                        In this report, I will be simulating a channel flow in a domain of the dimensions: 0.1m long, 0.1m tall and the wideness of the domain is infinity (the flow does not vary across the z axis) for 3 different mesh sizes. Geometry Creation 1. Create Tool - using the create tool, a cuboidal geometry is created of l_x = 0.1m,…

                                        calendar

                                        10 Feb 2022 09:46 AM IST

                                          Read more

                                          Week 12 - Validation studies of Symmetry BC vs Wedge BC in OpenFOAM vs Analytical H.P equation

                                          Objective:

                                          This project is a continuation of my earlier project about the same topic. You can read it here: In this project, I will be comparing how the solution changes when the wedge angle is changed from 4 degrees to 10, 25 and 45 degrees. I will also be looking at how the solution changes when the wedge boundary condition is…

                                          calendar

                                          24 Nov 2021 08:20 AM IST

                                          Read more

                                          Week 9 - FVM Literature Review

                                          Objective:

                                          The Finite Volume Method is a method used to evaluvate partial differential equations by converting them into algebaric equations. In this method, each domain is divided into finitely small volumes, the partial differential equations are solved for each volume. Because solving for each volume will be tedious, the equations…

                                          calendar

                                          15 Nov 2021 08:58 AM IST

                                            Read more

                                            Week 5.1 - Mid term project - Solving the steady and unsteady 2D heat conduction problem

                                            Objective:

                                            Steady state is referred to when the temperature with respect to time does not change. Unsteady/Transient State is shen the temperature with respect to time does change. The 2nd order partial diffential equation for Unsteady State is: `(delta T)/(delta t) - alpha *((delta^2T)/(delta x^2) + (delta^2T)/(delta y^2)) = 0`…

                                            calendar

                                            20 Oct 2021 08:15 AM IST

                                              Read more

                                              Week 3.5 - Deriving 4th order approximation of a 2nd order derivative using Taylor Table method

                                              Objective:

                                              1. Central Difference To calculate number of nodes for central differencing, order of accuracy P = Number of nodes in the stencil N - order of derivative Q + 1 we know, P = 4, Q = 2. Solving for N we get N = 5 Let `(d^2f)/dx^2 = a f(i-2) + b f(i-1) + c f(i) + df(i+1) + e f(i+2)` we have to create a taylor's…

                                              calendar

                                              06 Oct 2021 08:47 AM IST

                                              Read more
                                              Showing 1 of 45 projects